R. Bras. Zootec.18/abr/2018;47:e20170084.
Live weight and body measurements of male and female native ducks raised in different raising systems
ABSTRACT
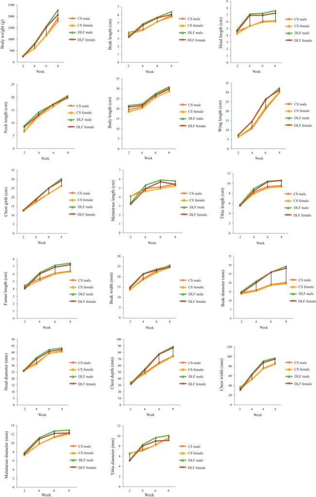
The purpose of this study was to determine live weight and body measurements of male and female native ducks raised in different raising systems. One hundred and twenty native ducks (60 males, 60 females) were used in the study. The ducks were raised in deep litter floor and cage systems. Live weight and body values were measured every two weeks, until they were 56 days old. Three-parameter logistic regression and Gompertz model were used to determine growth model of male and female ducks. Interactions of time-raising system and time-sex were statistically significant in terms of live weight. At the end of eight weeks, live weights of ducks raised in deep litter floor were higher than ducks raised in cage system. In addition, live weights of male ducks were higher than female ducks. Consequently, deep litter floor is more appropriate for live weight in native ducks. Accuracy rate of Three-parameter Logistic and Gompertz models for estimation of growth in ducks was between 0.91-0.95 and similar results were obtained from both models. The Gompertz model is appropriate for the data structure of this study because it contains fewer iterations than the Three-Parameter Logistic model.
Palavras-chave: cage system; deep litter floor; males; growth model; Three-Parameter Logistic

