R. Bras. Zootec.01/fev/2017;46(2):91-8.
Genetic associations between reproductive and linear-type traits of Holstein cows in Brazil
DOI: 10.1590/S1806-92902017000200002
ABSTRACT
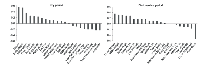
This study aimed to estimate heritability, genetic, and residual correlations between reproductive traits such as age at first calving, calving interval, dry period, and first service period and linear type traits measured in Holstein cows born between the years 1990 and 2008 in Brazil. The (co)variance components were estimated by restricted maximum likelihood, using the MTDFREML software. The heritability for reproductive traits and linear-type traits ranged from 0.02 to 0.03 and from 0.07 to 0.40, respectively. Estimates of genetic correlations between reproductive and linear-type traits ranged from -0.23 (top line) to 0.28 (angularity) to age at first calving, from -0.54 (final score) to 0.34 (foot angle) to calving interval, from -0.23 (angularity) to 0.56 (stature) to dry period, and from -0.52 (final score) to 0.36 (height udder) to first service period. Direct selection for any of the reproductive traits implies low genetic gains by virtue of their low heritabilities. Among the linear-type traits, the final score, chest width, top line, angularity, teat length, udder attachment, rear teat placement were highlighted as good auxiliary traits to improve reproductive efficiency of Holstein cows in Brazil. The simultaneous selection for reproductive and linear-type traits can lead a higher genetic progress in the reproductive traits.
Palavras-chave: age at first calving; dairy cattle; genetic parameters; reproductive efficiency

