R. Bras. Zootec.11/fev/2021;50:e20200176.
Estrous synchronization in sheep with reused progesterone devices and eCG
ABSTRACT
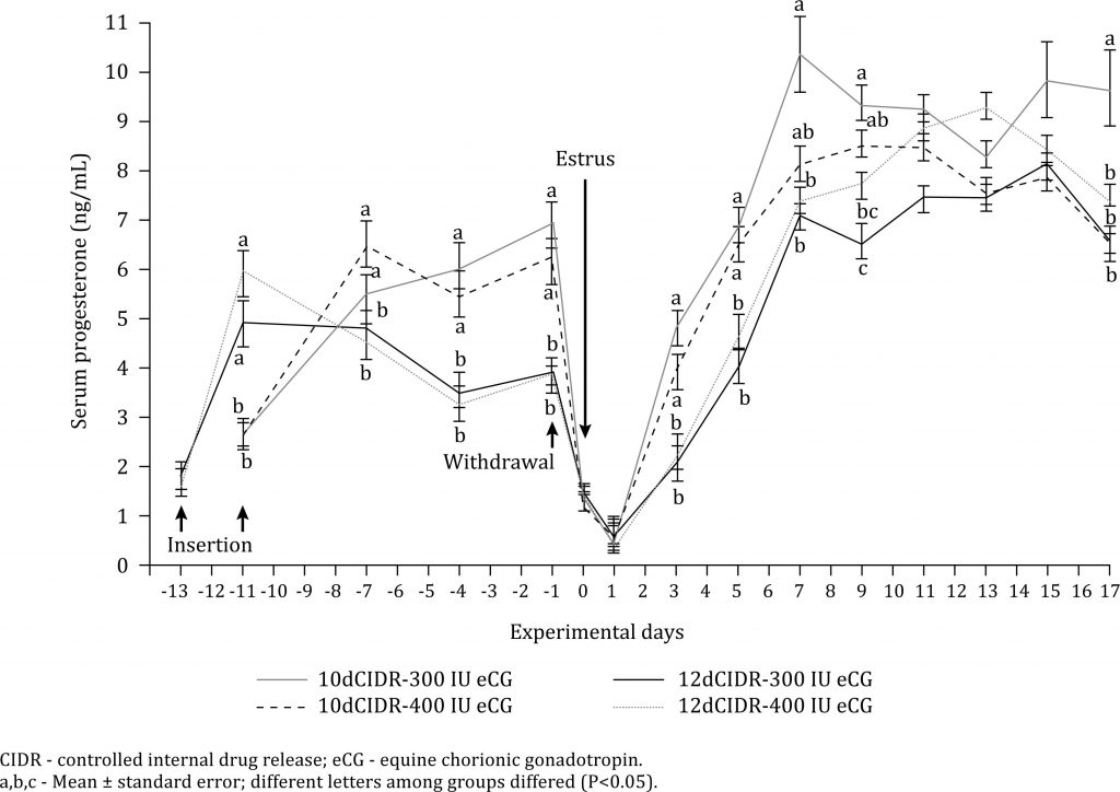
The objective of the present research was to determine the effect of long synchronization protocols based on reused progesterone devices (controlled internal drug release [CIDR]) associated with different doses of equine chorionic gonadotropin (eCG) on reproductive variables in crossbred sheep (Suffolk × Kathadin × Dorset). The CIDR were used for eleven days in a previous study in sheep from the same herd and were washed and disinfected before reusing. Sixty-four sheep, in the reproductive season, were randomly assigned to four experimental groups (n = 16). Treatments consisted of a group with 10 d CIDR and 300 IU eCG; a group with 10 d CIDR and 400 IU of eCG; a group with 12 d CIDR and 300 IU of eCG; and a group with 12 d CIDR and 400 IU of eCG. A completely randomized design was used. There was an estrous presentation rate of 100% in all treatments. The begining of estrous, gestation rate, fertility rate, type of parturition, and prolificacy index were equal between groups. Progesterone serum concentration was higher in sheep from the 10 d CIDR groups. The CIDR, reused for the second time, associated with 300 or 400 IU of eCG for estrous synchronization in sheep, are effective to obtain good pregnancy rates and ensures higher prolificacy rates.
Palavras-chave: CIDR reutilization; ovine; reproductive efficiency

