R. Bras. Zootec.01/fev/2017;46(2):85-90.
Effects of feeding strategy on larval development of the Amazon River prawn Macrobrachium amazonicum
DOI: 10.1590/S1806-92902017000200001
ABSTRACT
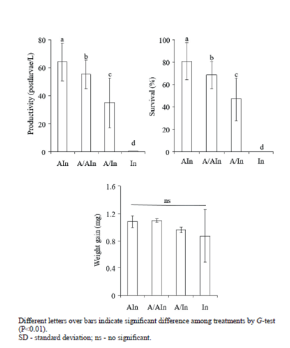
Effects of four feeding regimes on the development and feed intake, survival, productivity, and growth of Macrobrachium amazonicum larvae were investigated. Larvae were fed from stage II to IX, as follows: Artemia nauplii + inert diet during the entire larval cycle (AIn); Artemia nauplii for the entire larval cycle + inert diet from stage V onward (A/AIn); Artemia nauplii until stage IV + inert diet from stage IV onward (A/In); and only inert diet for the entire larval cycle (In). Each feeding regime (treatment) was carried out in three 50-L rectangular black tanks, set up in a recirculating system, filled with 10 salinity brackish water, and stocked at 81.8±0.8 larvae/L. The larval stage index, occurrence of Artemia nauplii and/or inert feed into the digestive tract, survival (number of larvae and postlarvae), productivity (number of postlarvae/L), and weight gain (mg) were evaluated. Larval development was similar in treatments AIn, A/Ain, and A/In, but was delayed in treatment In. Artemia nauplii were ingested by larvae irrespective of developmental stages, while inert feed was ingested only from stage III onward. Survival and productivity were higher in treatment AIn and decreased according to the number of days larvae were fed Artemia nauplii. Macrobrachium amazonicum larvae are omnivorous and polytrophic, but live feed is essential in the first stages and act as a complementary diet in the last half of larval cycle. There is a potential for inert diet to replace Artemia in the last phase of development if the nutrient composition matches larvae requirements. The combination of Artemia nauplii and inert diet during all larval cycles is the best management to maximize productivity.
Palavras-chave: prawn larvae; productivity; replacing of Artemia; stages; survival

