R. Bras. Zootec.01/nov/2017;46(11):839-46.
Comparison of growth curve models in Japanese quail raised in cages enriched with different colored lights
DOI: 10.1590/S1806-92902017001100002
ABSTRACT
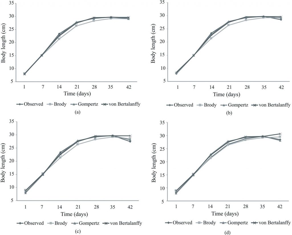
This study compared the growth curve models for the live weight and body length of Japanese quail raised under lights of various colors. The Brody, Gompertz, and von Bertalanffy growth models were used to investigate the effect of different colored lights on Japanese quail growth over a period of six weeks (1-42 days). Four lights of different colors, comprising yellow, red, blue, and white, were used in the study. According to the different light colors, the mean and standard error for the live weight and body length on day 42 were calculated as 196.09 and 3.87 g and 29.48 and 0.192 cm, respectively. Furthermore, while the differences in live weight according to the color of the light being used were statistically significant on days 14, 21, and 28, there were significant differences in body length on days 7, 28, 35, and 42, depending on the color of the light used. The highest values of R2 for body length and live weight were 0.9935 and 0.9988; the lowest sum of square error values for body length and live weight were 9.6588 and 10.6623 according to the Gompertz model. Test results did not reveal autocorrelation among serial data except for those grown under red colored lights.
Palavras-chave: bird; body parametrs; environmental enrichment; led light

