R. Bras. Zootec.24/Jul/2018;47:e20170142.
Wilting whole crop black oat with glyphosate for ensiling: effects on nutritive, fermentative, and aerobic stability characteristics
ABSTRACT
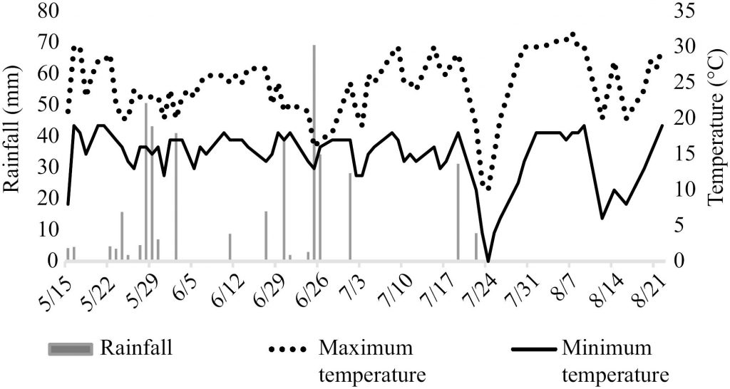
We aimed to evaluate the effects of glyphosate as a chemical desiccant on the nutritional quality, fermentation pattern, and aerobic stability of wilted black oat (Avena strigosa Schreb) silage. Black oat sowing occurred in the first fortnight of May 2013. Desiccant application took place when oat reached milky/dough grain stage (96 days after planting). Glyphosate dosages evaluated were 0, 500, 750, 1000, and 1250 mL ha−1. Three days after desiccation, all treatments were ensiled, and the silos were kept stored for 150 days. A completely randomized design was used, and all statistical procedures were performed by means of Bayesian Inference. Treating herbage prior to ensiling from 500 mL ha−1 glyphosate increased dry matter and organic matter contents compared with control. On the other hand, fiber content decreased linearly for desiccated silages, as shown by the negative slopes for neutral detergent fiber, acid detergent fiber, and cellulose. The highest concentrations of hemicellulose and neutral detergent insoluble nitrogen occurred for the dosages of 729.96 mL ha−1 and 759.52 mL ha−1 glyphosate, respectively. Wilted silage had less concentration of acetic acid and isovaleric acid and presented a higher amount of 2,3-butanediol. Due to the lack of beneficial short-chain fatty acids, treated silages had a higher organic matter loss (0.1 g mL−1) and reached a maximum pH (0.009 h mL−1) more quickly than control silage, after aerobic exposure. In this way, for wilted black oat silage production, harvested at milky/dough grain stage, the application of 500 mL ha−1 glyphosate is recommended.

