R. Bras. Zootec.01/Apr/2017;46(4):354-65.
Relevance of brands and beef quality differentials for the consumer at the time of purchase
DOI: 10.1590/S1806-92902017000400012
ABSTRACT
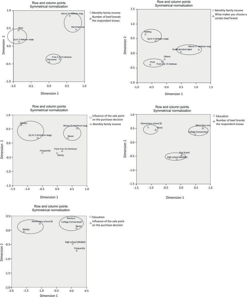
The objective of this study was to identify the purchase habits and preferences of beef consumers, their level of knowledge on brands and products with quality differentials (certifications, packaging, premium lines), and the relevance of different attributes in the purchase decision, and to group consumers according to the profile of purchase decision. The methodology consisted of using an information-collecting instrument applied to 271 beef consumers. The data collected were analyzed using descriptive statistical analyses, chi-square analysis, and correspondence analysis, relating socio-demographic profile of the respondents with the other variables collected. Chi-square and correspondence analyses showed that younger consumers with lower levels of income and education are influenced by posters and advertisements at the point of sale, unaware of differentiated and branded products, and that they do not choose branded beef at the time of purchase. Consumers over 60 years showed a more conservative purchase profile, with no influence. The most valued attributes are appearance, price, and type of cut, being brand and certifications little relevant as tools to help decide the product purchase.
Keywords: beef; consumer; meat brands; purchase decision; quality

