R. Bras. Zootec.13/Nov/2019;48:e20170176.
Mathematical models to predict growth, fillet traits, and composition of wild traíra, Hoplias malabaricus
ABSTRACT
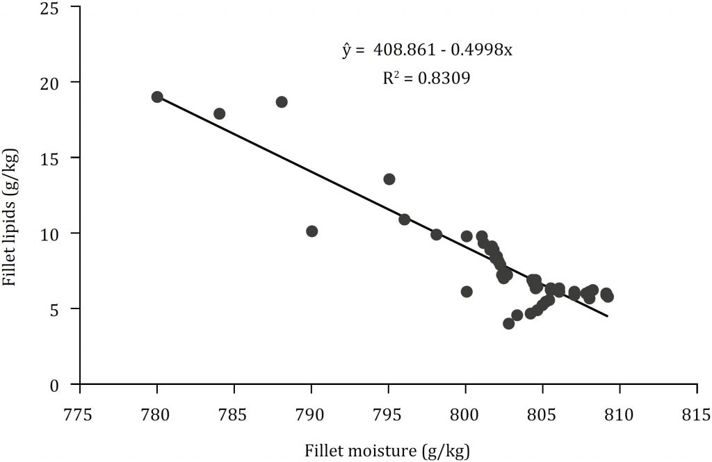
This study aimed to determine the length-weight relationship and mathematical models to predict dressed and fillet weight and yield and fillet composition of wild traíra, Hoplias malabaricus (Bloch, 1794). A total of 80 marketable-sized fish from 292.28 to 2879.57 g and 32.06 to 61.19 cm were used. The length:weight ratio was estimated using the equation: , in which W is body weight (g) and L is length (cm). The models of dressed and fillet weight and yield and body were elaborated using first-order or second-order linear regression analyses. The value of slope b in the length:weight ratio was 3.3732 and intercept was 0.0029. The prediction equations obtained for dressed weight, fillet weight, dressed yield, fillet yield, fillet gross energy, moisture, crude protein, crude lipid, and ash were, respectively: , , , , , , , , and , in which W is the body weight of fish (g). We demonstrated the possibility of elaborating realistic expressions to describe degutted weight, fillet weight, and fillet composition. However, lower mathematical adjustment was observed to estimate realistic prediction of dressed and fillet yield.
Keywords: aquaculture; carcass; fish; growth curve; meat quality

