R. Bras. Zootec.01/Jun/2020;49:e20190197.
Evaluation of mathematical models to describe gas production kinetics of some tropical and temperate forages
ABSTRACT
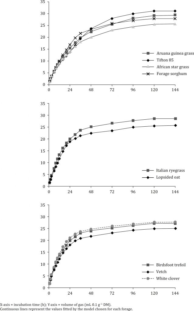
Our objective was to identify the best fit mathematical models for in vitro gas production kinetics using rumen fluid and forage plants commonly used in ruminant feed to obtain better estimates of parameters that describe the rumen fermentation. Four mathematical models were tested, two unicompartmental (M1 = first order, M2 = Gompertz) and two bicompartmental (M3 = M1 + M2; M4 = M2 + M2). Two temperate grasses were evaluated, as well as four tropical grasses and three temperate forage legumes. The fit of the models was verified by the corrected Akaike information criterion (AICcr) and the difference among AICcr values (Δr), likelihood probability (Wr), and relative likelihood (ERr). Temperate forages reached maximum gas production between 48 and 72 h. In the tropical forages, it occurred only after 72 h. In profiles in which M3 was the best choice, the values of parameters Vf 1 were higher than those of Vf 2, and k1 values were higher than k2 values. The only exception was for Tifton 85 profile, whose Vf 2 value was higher than Vf 1. The model M3 has a better fit for tropical forages with higher fiber content and lower levels of nonfibrous carbohydrates and crude protein. The model M1 has a better fit for forage with higher nonfibrous carbohydrate contents and low lignin content.
Keywords: in vitro; kinetic parameters; ruminal kinetics

