R. Bras. Zootec.20/Mar/2018;47:e20170083.
Estimation of growth parameters of body weight and body nutrient deposition in males and females of meat- and laying-type quail using the Gompertz model
ABSTRACT
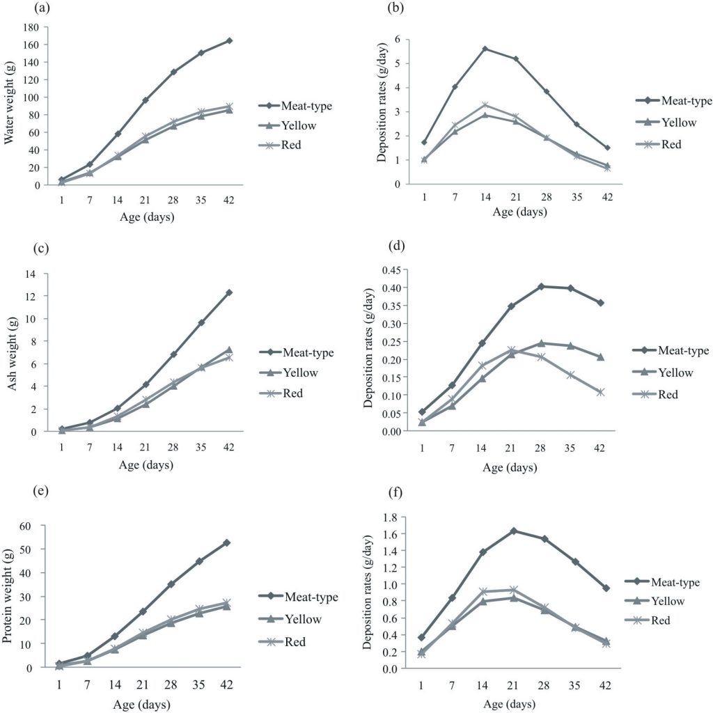
The objective of this study was to estimate the growth parameters of body weight and body nutrient deposition in males and females of one meat- (Coturnix coturnix coturnix) and two laying-type quail strains (Coturnix coturnix japonica), designated either yellow or red, using the Gompertz model. A total of 1350 quail from 1 to 42 days of age were used and they were distributed in a completely randomized design, with five replications for each strain. The parameters of body weight and body composition of the quail were analyzed weekly and evaluated using the Gompertz equation; growth rates and body nutrient deposition were evaluated through derivative equations. The three strains evaluated showed differences in their potential, growth rates, and body chemical composition. The composition up to 42 days of age was not sufficient to adjust the fat deposition data using Gompertz. Due to the period evaluated, the Gompertz model allowed to verify that females have higher body growth rates when compared with males of the same strains, with accelerated growth up to 14 and 21 days of age for males and females, respectively. Regarding the laying strain, the red has greater growth, with similar potential in depositing protein and water in the carcass, but they are more precocious in the deposition of these nutrients.

