R. Bras. Zootec.17/Jul/2025;54:e20250001.
Effect of castration and days on feed on body composition, glucose tolerance, and muscle gene expression in Nellore cattle
ABSTRACT
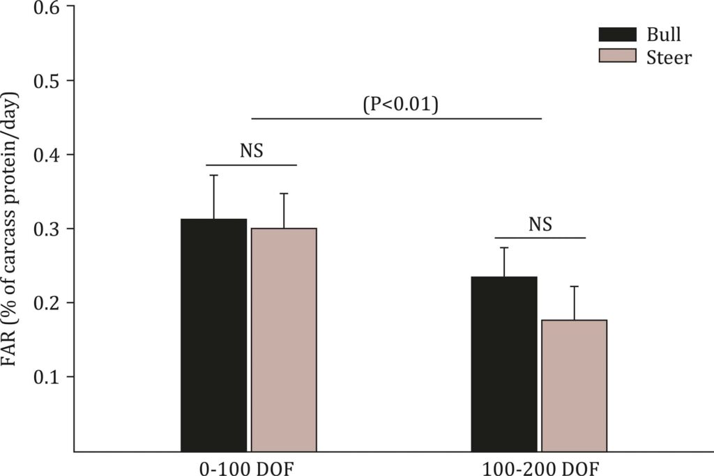
The objective of this study was to evaluate the effect of castration and days of feed (DOF) on glucose sensitivity and muscle expression of genes related to glucose metabolism, muscle growth, and fat deposition. Thirty-six Nellore bull calves were either surgically castrated or left intact, then harvested at 0, 100, or 200 DOF. Glucose tolerance tests were performed at 100 and 200 DOF. Longissimus dorsi (LD) samples were taken just after stunning for gene expression. Data were analyzed as a complete randomized design following a two (sexual condition) × three (DOF) factorial arrangement of treatments. An interaction effect was found for carcass fat gain (P = 0.01), showing that steers gained more fat than bulls from 100 to 200 DOF, but both sexual classes had a similar fat gain from 0 to 100 DOF. Basal blood glucose and the area under the curve post-infusion were not affected by castration or DOF (P>0.05). Castration tended (P = 0.08) to upregulate LD expression of Acetyl-CoA carboxylase alpha (ACACA). Interaction effects (P<0.05) were found for LD expression of IGF-1 receptor (IGF1R) and F-box protein 32 (FBXO32) with steers having greater relative abundance for both genes at 100 DOF, while bulls had greater relative abundance at 200 DOF. Despite the greater carcass fattening enhancement by castration and longer DOF, whole-body sensitivity to glucose does not change.
Keywords: carcass composition; castration; cattle; glucose tolerance test

